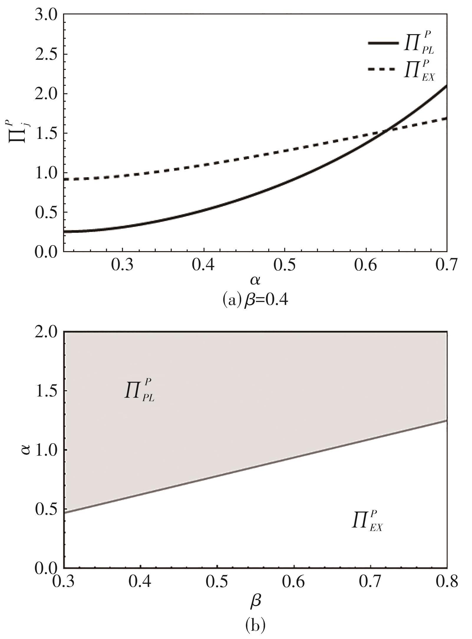
| [1] |
GSMA. State of the industry report on mobile money 2023[R]. Working Paper, GSMA, 2023.
|
| [2] |
Del Duca L F, Rule C, Rimpfel K. eBay’s de facto low value high volume resolution Process: lessons and best practices for ODR systems designers[J]. Arbitration Law Review, 2014, 6(1): 204-219.
|
| [3] |
Van Loo R. The corporation as courthouse[J]. Yale Journal on Regulation, 2016, 33(2): 547-602.
|
| [4] |
Taylor T A. On-demand service platforms[J]. Manufacturing & Service Operations Management, 2018, 20(4): 704-720.
|
| [5] |
Bai J, So K C, Tang C S, et al. Coordinating supply and demand on an on-demand service platform with impatient customers[J]. Manufacturing & Service Operations Management, 2019, 21(3): 556-570.
|
| [6] |
Guda H, Subramanian U. Your uber is arriving: Managing on-demand workers through surge pricing, forecast communication, and worker incentives[J]. Management Science, 2019, 65(5): 1995-2014.
|
| [7] |
Bimpikis K, Candogan O, Saban D. Spatial pricing in ride-sharing networks[J]. Operations Research, 2019, 67(3): 744-769.
|
| [8] |
Hu B, Hu M, Zhu H. Surge pricing and two-sided temporal responses in ride hailing[J]. Manufacturing & Service Operations Management, 2022, 24(1): 91-109.
|
| [9] |
胡娇, 李莉, 张华, 等. 考虑参照效应和主播影响力的网络直播平台动态定价决策[J]. 系统工程理论与实践, 2022, 42(3): 755-766.
|
|
Hu J, Li L, Zhang H, et al. Dynamic pricing strategies for live broadcast platform considering reference effect and anchor influence[J]. Systems Engineering-Theory & Practice, 2022, 42(3): 755-766.
|
| [10] |
Bernstein F, DeCroix G A, Keskin N B. Competition between two-sided platforms under demand and supply congestion effects[J]. Manufacturing & Service Operations Management, 2021, 23(5): 1043-1061.
|
| [11] |
Benjaafar S, Kong G, Li X, et al. Peer-to-peer product sharing: Implications for ownership, usage, and social welfare in the sharing economy[J]. Management Science, 2019, 65(2): 477-493.
|
| [12] |
田林, 余航. 共享经济外部影响定量研究综述[J]. 管理科学学报, 2020, 23(9): 1-18.
|
|
Tian L, Yu H. The social and economic impacts of sharing economy: A review on the quantitative literature[J]. Journal of Management Sciences in China, 2020, 23(9): 1-18.
|
| [13] |
余航, 田林, 陈云. 电商平台信息披露策略研究[J]. 中国管理科学, 2022, 30(5): 192-203.
|
|
Yu H, Tian L, Chen Y. Information disclosure strategies in the E-commerce platform[J]. Chinese Journal of Management Science, 2022, 30(5): 192-203.
|
| [14] |
Xu Y, Armony M, Ghose A. The interplay between online reviews and physician demand: An empirical investigation[J]. Management Science, 2021, 67(12): 7344-7361.
|
| [15] |
Xiao L, Zhang Y, Fu B. Exploring the moderators and causal process of trust transfer in online-to-offline commerce[J]. Journal of Business Research, 2019, 98: 214-226.
|
| [16] |
Bakos Y, Dellarocas C. Cooperation without enforcement? a comparative analysis of litigation and online reputation as quality assurance mechanisms[J]. Management Science, 2011, 57(11): 1944-1962.
|
| [17] |
Bolton G, Greiner B, Ockenfels A. Dispute resolution or escalation? the strategic gaming of feedback withdrawal options in online markets[J]. Management Science, 2017, 64(9): 4009-4031.
|
| [18] |
Burtch G, Hong Y, Kumar S. When does dispute resolution substitute for a reputation system? empirical evidence from a service procurement platform[J]. Production and Operations Management, 2021, 30(6): 1565-1582.
|
| [19] |
Kwan A P, Yang S A, Zhang A H. Crowd-judging on two-sided platforms: An analysis of in-group bias[J]. Management Science, 2023, 70(4): 2459-2476.
|
| [20] |
Antweiler W, Frank M Z. Is all that talk just noise? the information content of Internet stock message boards[J]. The Journal of Finance, 2004, 59(3): 1259-1294.
|
| [21] |
Budescu D V, Chen E. Identifying expertise to extract the wisdom of crowds[J]. Management Science, 2015, 61(2): 267-280.
|
| [22] |
Da Z, Huang X. Harnessing the wisdom of crowds[J]. Management Science, 2020, 66(5): 1847-1867.
|
| [23] |
Heimbach I, Hinz O. The impact of sharing mechanism design on content sharing in online social networks[J]. Information Systems Research, 2018, 29(3): 592-611.
|
| [24] |
Barach M A, Golden J M, Horton J J. Steering in online markets: The role of platform incentives and credibility[J]. Management Science, 2020, 66(9): 4047-4070.
|
| [25] |
Bhargava H K, Wang K, Zhang X. Fending off critics of platform power with differential revenue sharing: Doing well by doing good?[J]. Management Science, 2022, 68(11): 8249-8260.
|
| [26] |
Lai G, Liu H, Xiao W, et al. “Fulfilled by Amazon”: A strategic perspective of competition at the e-commerce platform[J]. Manufacturing & Service Operations Management, 2022, 24(3): 1406-1420.
|
| [27] |
Liu Z, Zhang D J, Zhang F. Information sharing on retail platforms[J]. Manufacturing & Service Operations Management, 2021, 23(3): 606-619.
|
| [28] |
Papanastasiou Y, Bimpikis K, Savva N. Crowdsourcing exploration[J]. Management Science, 2017, 64(4): 1727-1746.
|
| [29] |
Shi Z, Srinivasan K, Zhang K. Design of platform reputation systems: Optimal information disclosure[J]. Marketing Science, 2023, 42(3): 500-520.
|
| [30] |
金亮, 郑本荣. 电商平台自营渠道引入决策: 在线产品评论的价值[J]. 系统工程理论与实践, 2023, 43(2): 469-487.
|
|
Jin L, Zheng B R. Optimal self-operated channel introduction strategy for E-commerce platform: Value of the online reviews[J]. Systems Engineering-Theory & Practice, 2023, 43(2): 469-487.
|
| [31] |
Gur Y, MacNamara G, Morgenstern I, et al. Information disclosure and promotion policy design for platforms[J]. Management Science, 2023, 69(10): 5883-5903.
|
| [32] |
曾燕, 吴雪枫, 康俊卿, 等. 电商平台与其入驻商家合作发放优惠券的最优策略及效益[J]. 系统工程理论与实践, 2023, 43(1): 110-134.
|
|
Zeng Y, Wu X F, Kang J Q, et al. Optimal coupon cooperation policy of e-commerce platforms and e-tailers and its benefit[J]. Systems Engineering-Theory & Practice, 2023, 43(1): 110-134.
|
| [33] |
Zheng J, Wang Y, Tan Y. Platform refund insurance or being cast out: Quantifying the signaling effect of refund options in the online service marketplace[J]. Information Systems Research, 2022, 34(3): 910-934.
|
| [34] |
陈飔佳, 官振中. 消费者对产品估值不确定与后悔效应下在线零售商退货策略研究[J]. 管理工程学报, 2022, 36(5): 181-195.
|
|
Chen S J, Guan Z Z. Return policy for online retailers in the presence of product value uncertainty and consumer anticipated regret[J]. Journal of Industrial Engineering and Engineering Management, 2022, 36(5): 181-195.
|
| [35] |
Papanastasiou Y, Yang S A, Zhang A H. Improving dispute resolution in two-sided platforms: The case of review blackmail[J]. Management Science, 2023, 69(10): 6021-6037.
|
| [36] |
Lee W K, Cui Y. Should gig platforms decentralize dispute resolution?[J]. Manufacturing & Service Operations Management, 2023, 26(2): 519-536.
|
| [37] |
Huang X, Atasu A, Toktay L B. Design implications of extended producer responsibility for durable products[J]. Management Science, 2019, 65(6): 2573-2590.
|
| [38] |
Yu J J, Tang C S, Sodhi M S, et al. Optimal subsidies for development supply chains[J]. Manufacturing & Service Operations Management, 2020, 22(6): 1131-1147.
|