主管:中国科学院
主办:中国优选法统筹法与经济数学研究会
   中国科学院科技战略咨询研究院

中国管理科学 ›› 2026, Vol. 34 ›› Issue (5): 310-321.doi: 10.16381/j.cnki.issn1003-207x.2023.1446cstr: 32146.14.j.cnki.issn1003-207x.2023.1446

• • 上一篇    下一篇

考虑公平偏好和绿色创新的绿色供应链策略研究

公彦德1(), 开吉2, 王哲1   

  1. 1.南京审计大学商学院,江苏 南京 211815
    2.南京理工大学经济管理学院,江苏 南京 210094
  • 收稿日期:2023-08-30 修回日期:2024-02-20 出版日期:2026-05-25 发布日期:2026-04-21
  • 通讯作者: 公彦德 E-mail:gongyande@126.com
  • 基金资助:
    国家自然科学基金项目(72102112);教育部人文社会科学规划基金项目(22YJA630022)

Research on Closed Loop Supply Chain Strategy Considering Fair Preference and Green Innovation

Yande Gong1(), Ji Kai2, Zhe Wang1   

  1. 1.School of Business,Nanjing Audit University,Nanjing 211815,China
    2.School of Economics and Management,Nanjing University of Technology,Nanjing 210094,China
  • Received:2023-08-30 Revised:2024-02-20 Online:2026-05-25 Published:2026-04-21
  • Contact: Yande Gong E-mail:gongyande@126.com

摘要:

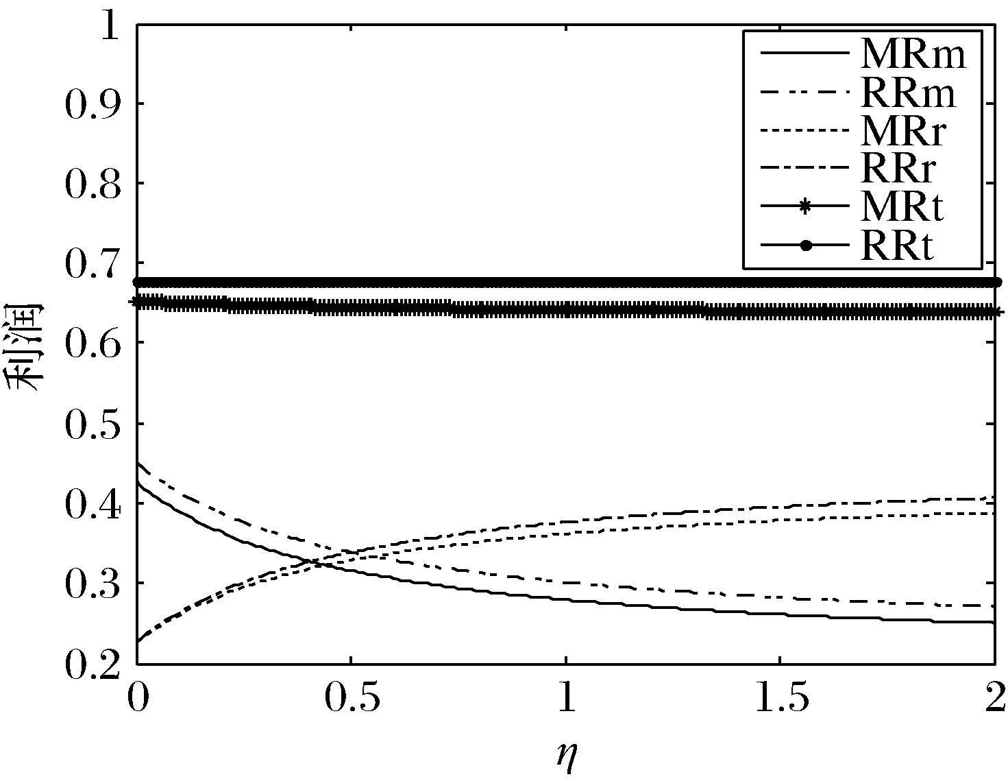
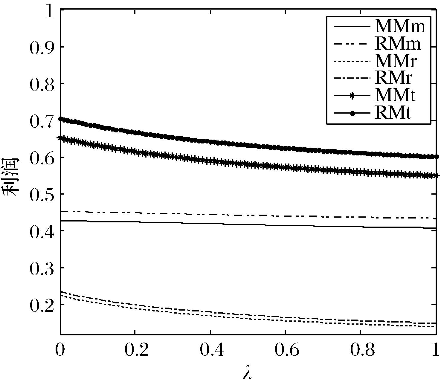
基于制造商和销售商组成的绿色产品供应链,本文构建了制造商推动绿色创新且制造商具有公平偏好(MM)、销售商推动绿色创新且制造商具有公平偏好(RM)、制造商推动绿色创新且销售商具有公平偏好(MR)、销售商推动绿色创新且销售商具有公平偏好(RR)4类绿色供应链模型。运用博弈论方法进行求解,研究发现:(1)MM和RM两类绿色供应链模型中的绿色创新努力、产品需求量、制造商利润、销售商利润、系统总利润、制造商效用和销售商效用均与制造商公平偏好程度负相关。(2)MR策略中,将销售商公平偏好程度控制在合理范围内,有助于提升销售商的利润;RR策略中,销售商绿色创新努力、产品需求量、系统总利润与销售商公平偏好无关。(3)从4种策略下的企业利润来看,RR策略始终为销售商和供应链系统的最佳选择策略。但对于制造商来说,销售商公平偏好程度较小时,RR策略为制造商最优策略;销售商公平偏好程度较大时,RM策略为制造商最优策略。

关键词: 公平偏好, 绿色创新, 绿色供应链

Abstract:

A green product supply chain consisting of manufacturers and sellers is proposed, which includes four types of green supply chain models: manufacturers promoting green innovation with fair preference (MM), sellers promoting green innovation with fair preference (RM), manufacturers promoting green innovation with fair preference (MR), and sellers promoting green innovation with fair preference (RR). Applying game theory methods to solve, the results indicate that: (1) In both types of green supply chain models, namely, the manufacturer-driven green innovation with manufacturer's fairness preference and the retailer-driven green innovation with manufacturer's fairness preference, the efforts of green innovation, product demand, manufacturer's profit, retailer's profit, system total profit, manufacturer's utility, and retailer's utility are all negatively correlated with the degree of manufacturer's preference. (2) The product demand, manufacturer's profit, retailer's profit, system total profit, manufacturer's utility, and retailer's utility under the retailer-driven green innovation with manufacturer's fairness preference strategy are higher than those under the manufacturer-driven green innovation with manufacturer's fairness preference strategy. (3) In the manufacturer-driven green innovation with retailer's fairness preference strategy, when the degree of retailer's fairness preference is controlled within a reasonable range, it helps to enhance the retailer's profit. The retailer's green innovation efforts, product demand, and system total profit are not related to retailer's fairness preference. (4) The product demand, manufacturer's profit, retailer's profit, system total profit, manufacturer's utility, and retailer's utility under the retailer-driven green innovation with retailer's fairness preference strategy are higher than those under the manufacturer-driven green innovation with retailer's fairness preference strategy. Based on the above conclusions, it is recommended for the retailer to implement green innovation strategies, regardless of whether the manufacturer has fairness preference or the retailer has fairness preference. (5) Among the four strategies, the retailer-driven green innovation with retailer's fairness preference strategy is the best choice. The product demand, retailer's profit, and system total profit are optimal under this strategy. When the retailer's preference meets certain conditions, the manufacturer's profit is also optimal under the retailer-driven green innovation with retailer's fairness preference strategy. It is recommended that the government encourage retailers to promote green products with fairness preference. Retailers can make specific green innovation efforts such as green promotion and green advertising. This not only has profound significance for the development of the green economy and the construction of a resource-saving society but also plays an important role in the healthy development and safety of the green industry.

Key words: fair preference, green innovation, green supply chain

中图分类号: