主管:中国科学院
主办:中国优选法统筹法与经济数学研究会
   中国科学院科技战略咨询研究院

中国管理科学 ›› 2026, Vol. 34 ›› Issue (5): 86-96.doi: 10.16381/j.cnki.issn1003-207x.2023.1370cstr: 32146.14.j.cnki.issn1003-207x.2023.1370

• • 上一篇    下一篇

基于一致性的联盟Banzhaf值的刻画及其在产业联盟创新收益分配中的应用

吕文蓉1, 单而芳2(), 刘涛3, 吕建林4   

  1. 1.浙江师范大学经济与管理学院,浙江 金华 321004
    2.上海大学管理学院,上海 200444
    3.四川大学商学院,四川 成都 610065
    4.上海工程技术大学管理学院,上海 201620
  • 收稿日期:2023-08-18 修回日期:2025-01-07 出版日期:2026-05-25 发布日期:2026-04-21
  • 通讯作者: 单而芳 E-mail:efshan@shu.edu.cn
  • 基金资助:
    国家自然科学基金面上项目(72371151)

Consistency of the Banzhaf Value with Coalition Structure and Its Application in Innovation Benefit Allocation of the Industrial Alliance

Wenrong Lv1, Erfang Shan2(), Tao Liu3, Jianlin Lv4   

  1. 1.School of Economics and Management,Zhejiang Normal University,Jinhua 321004,China
    2.School of Management,Shanghai University,Shanghai 200444,China
    3.Business School,Sichuan University,Chengdu 610065,China
    4.School of Management,Shanghai University of Engineering Science,Shanghai 201620,China
  • Received:2023-08-18 Revised:2025-01-07 Online:2026-05-25 Published:2026-04-21
  • Contact: Erfang Shan E-mail:efshan@shu.edu.cn

摘要:

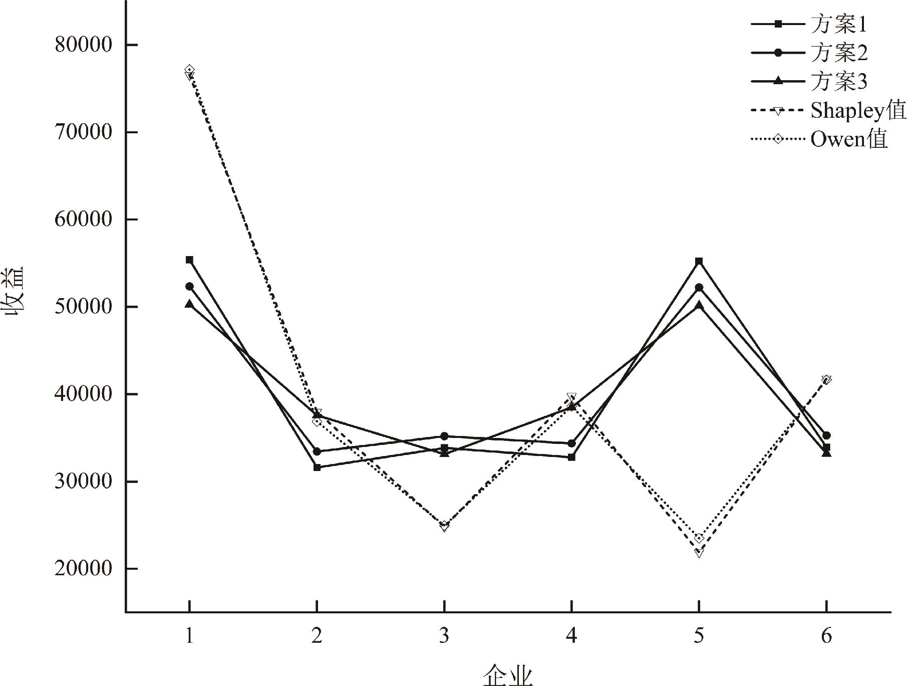
产业联盟是企业提升创新产出的有效途径。然而,不合理的创新收益分配机制常导致产业联盟分崩离析。考虑到产业联盟中企业优先结盟的现象,本文首先研究了具有联盟结构的合作博弈模型,利用一致性公理刻画了联盟Banzhaf值,验证了联盟Banzhaf值的内在稳定性。其次,构建了产业联盟创新收益分配三阶段拓展博弈模型,证明了联盟Banzhaf值是其前两阶段的子博弈完美均衡。最后,基于联盟Banzhaf值,为不同发展阶段的产业联盟创新收益设计了针对性的分配方案。

关键词: 合作博弈, 优先联盟, Banzhaf值, 一致性, 产业联盟

Abstract:

Industry alliances serve as a potent conduit for enhancing innovation outputs among firms. However, the dissolution of such alliances is frequently precipitated by inequitable innovation revenue distribution mechanisms. The phenomenon of re-alliance among enterprises within an industry alliance is addressed, and the cooperative game with coalition structure is introduced to delineate the existence of preferential alliances among enterprises. Subsequently, the classic axiom of consistency is extended to cooperative games with coalition structures, axiomatizing the Banzhaf value with coalition structure within this framework. The consistency axiom underscores the intrinsic stability of allocation rules, stipulating that when a subset of participants departs with their allocated gains, the remaining participants’ shares in the resultant reduced game should align with their shares in the original game. Consequently, an allocation rule that satisfies the consistency ensures that agreements formulated under this rule remain unaltered irrespective of participant count fluctuations. Then, a three-stage extended game model is constructed for the distribution of innovation revenues within industry alliances, examining the operational mechanism of the Banzhaf value with coalition structure. Finally, three novel innovation revenue distribution schemes are proposed, predicated on the Banzhaf value with coalition structure, and an empirical analysis is conducted using the intelligent voice intellectual property industry alliance as a case study.The findings indicate (1) The Banzhaf value with coalition structure possess inherent stability and is uniquely characterized by consistency within the priori union and standardization. (2) Within the three-stage extended game model for the distribution of innovation revenues in industry alliances, the Banzhaf value with coalition structure constitutes the subgame perfect equilibrium for the initial two stages. (3) Scheme one, predicated on the Banzhaf value with coalition structure, not only fosters the development of dominant enterprises but also safeguards the stability of the industry alliance. Scheme two enhances solidarity among enterprises within the industry alliance, facilitating the flow of innovation elements. Scheme three is more apt for industry alliances constituted by risk-neutral enterprises.

Key words: cooperative games, priori union, Banzhaf value, consistency, industry alliance

中图分类号: