Chinese Journal of Management Science ›› 2025, Vol. 33 ›› Issue (10): 98-111.doi: 10.16381/j.cnki.issn1003-207x.2024.0017
Previous Articles Next Articles
Yixin Liang1,2, Xuejie Ren3, lindu Zhao2(
)
Received:2024-01-04
Revised:2024-04-28
Online:2025-10-25
Published:2025-10-24
Contact:
lindu Zhao
E-mail:ldzhao@seu.edu.cn
CLC Number:
Yixin Liang,Xuejie Ren,lindu Zhao. Research on Value-Based Healthcare Payment Mechanisms Considering Self-Health Management of Chronic Disease Patients[J]. Chinese Journal of Management Science, 2025, 33(10): 98-111.
"
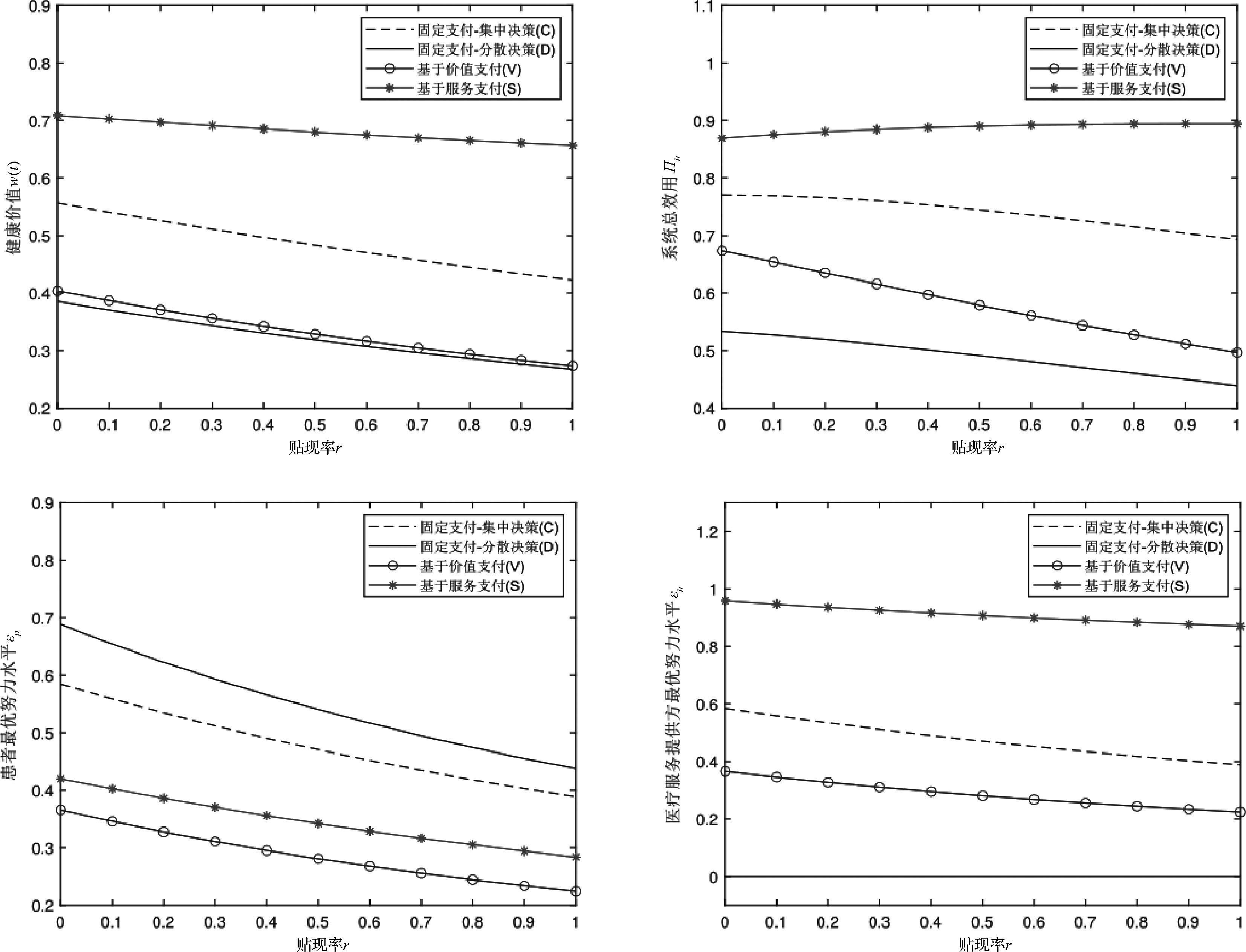
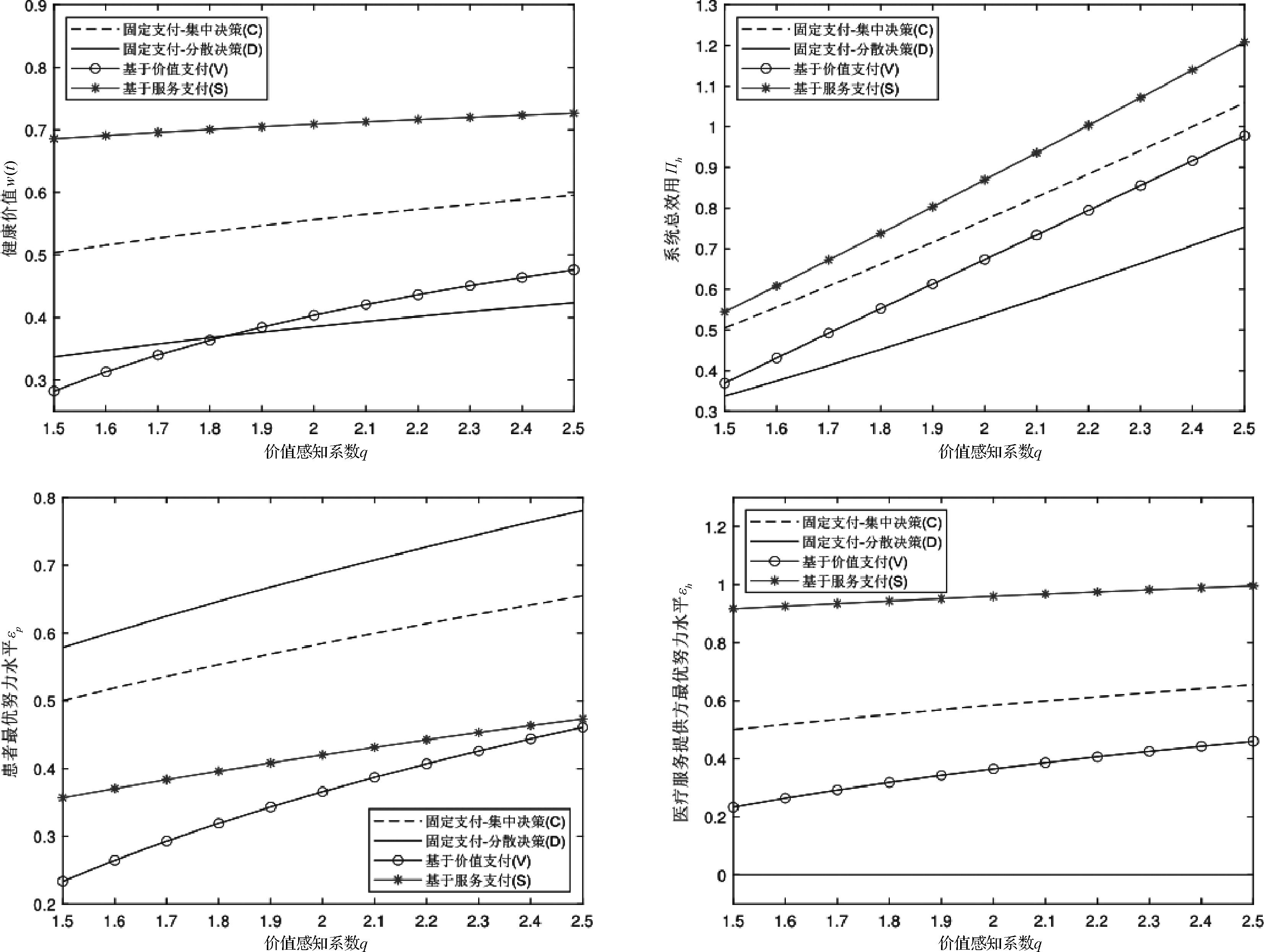
| 符号 | 说明 |
|---|---|
| 系统最优决策,即固定医疗支付、基于服务的医疗支付和基于价值的医疗支付机制下的集中决策 | |
| 固定医疗支付机制的分散决策 | |
| 基于服务的医疗支付机制的分散决策 | |
| 基于价值的医疗支付机制的分散决策 | |
| 下标 | 决策主体 |
| 决策主体为患者 | |
| 决策主体为医疗服务提供方 | |
| 不同医疗支付机制下自我健康管理努力水平,为患者决策变量, | |
| 不同医疗支付机制下医疗介入努力水平,为医疗服务提供方决策变量, | |
| 不同医疗支付机制下健康价值的瞬时值, | |
| 患者初始健康价值, | |
| 患者投入的努力水平在改善健康价值方面的转化率, | |
| 医疗服务提供方投入的努力水平在改善健康价值方面的转化率, | |
| 患者努力成本系数, | |
| 医疗服务提供方努力成本系数, | |
| 健康价值的自然衰退率,0 | |
| 患者对健康价值的效用感知系数, | |
| 固定医疗支付机制下患者的医疗支付总额 | |
| 患者根据健康价值向医疗服务提供方进行医疗支付的支付系数, | |
| 患者根据医疗服务提供方努力水平进行医疗支付的系数, | |
| 正贴现率, |
| [1] | Andritsos D A, Tang C S. Incentive programs for reducing readmissions when patient care is co-produced[J]. Production and Operations Management, 2018, 27(6): 999-1020. |
| [2] | 刘自敏, 张昕竹. 团队生产方式下医疗服务支付方式与医患间最优委托权配置[J]. 中国社会科学院研究生院学报, 2012, 32(5): 52-61. |
| Liu Z M, Zhang X Z. Payment pattern in healthcare and optimal principalship assignment between physicians and patients under teamwork[J]. Journal of Graduate School of Chinese Academy of Social Sciences, 2012, 32(5): 52-61. | |
| [3] | 麦舒敏, 王冬. 患者参与价值共创对医患双方的影响[J]. 中国医院管理, 2018, 38(10): 64-66. |
| Mai S M, Wang D. Influence on both doctors and patients from patients' participation in value co-creation[J]. Chinese Hospital Management, 2018, 38(10): 64-66. | |
| [4] | Lee C S, Bidwell J T, Paturzo M, et al. Patterns of self-care and clinical events in a cohort of adults with heart failure: 1 year follow-up[J]. Heart & Lung, 2018, 47(1): 40-46. |
| [5] | Whitehead L, Seaton P. The effectiveness of self-management mobile phone and tablet apps in long-term condition management: A systematic review[J]. Journal of Medical Internet Research, 2016, 18(5): e97. |
| [6] | Su D, Michaud T L, Estabrooks P, et al. Diabetes management through remote patient monitoring: The importance of patient activation and engagement with the technology[J]. Telemedicine Journal and e-Health, 2019, 25(10): 952-959. |
| [7] | McCabe P J, Stuart-Mullen L G, McLeod C J, et al. Patient activation for self-management is associated with health status in patients with atrial fibrillation[J]. Patient Preference and Adherence, 2018, 12: 1907-1916. |
| [8] | Greene J, Hibbard J H, Sacks R, et al. When patient activation levels change, health outcomes and costs change, too[J].Health Affairs,2015, 34(3): 431-437. |
| [9] | 吴晓丹, 刘一凡, 李娟, 等. 药占比管制下过度医疗行为演化研究[J]. 系统工程理论与实践, 2019, 39(12): 3163-3175. |
| Wu X D, Liu Y F, Li J, et al. Evolutionary game theory on over-treatment behavior under drug-proportion regulation[J]. Systems Engineering-Theory & Practice, 2019, 39(12): 3163-3175. | |
| [10] | 丁锦希, 张静, 陈烨, 等. 我国公立医院推行DRGs-PPS支付方式改革的评价与思考——基于北京市2011—2018年试点推行数据的实证分析[J]. 中国医药工业杂志, 2019, 50(9): 1052-1058. |
| Ding J X, Zhang J, Chen Y, et al. Evaluation and thinking of the reform of DRGs-PPS in public hospitals in China:Based on empirical analysis of bejing 2011-2018 pilot implementation data[J]. Chinese Journal of Pharmaceuticals, 2019, 50(9): 1052-1058. | |
| [11] | 瞿婷婷, 解乃琪, 易沛. 医疗保险支付方式改革与医药费用控制[J]. 南开经济研究, 2019(5): 145-162. |
| Qu T T, Xie N Q, Yi P. Medical insurance payment method reform and the control of medical and drug expenditures[J]. Nankai Economic Studies, 2019(5): 145-162. | |
| [12] | 方辉军, 邓芬芳, 陈晓华. 医保“总额预算” 支付方式与公立医院改革——以珠海市为例[J]. 卫生经济研究, 2015, 32(2): 44-46. |
| Fang H J, Deng F F, Chen X H. “Total budget” payment method of medical insurance and the reform of public hospitals:Taking Zhuhai as an example[J]. Health Economics Research, 2015, 32(2): 44-46. | |
| [13] | 郭文博, 张岚, 李元峰, 等. 医保费用总额控制支付方式的实施效果分析[J]. 中国卫生经济, 2012, 31(3): 25-27 |
| Guo W B, Zhang L, Li Y F, et al. Analysis of the effect of medical insurance scale payment[J]. Chinese Health Economics, 2012, 31(3): 25-27. | |
| [14] | 余玉刚, 王耀刚, 江志斌, 等. 智慧健康医疗管理研究热点分析[J]. 管理科学学报, 2021, 24(8): 58-66. |
| Yu Y G, Wang Y G, Jiang Z B, et al. Analysis of research hotspots of intelligent health care management[J]. Journal of Management Sciences in China, 2021, 24(8): 58-66. | |
| [15] | Bernstein J. Not by bread alone: Shortcomings of the pay-for-performance approach[J]. Clinical Orthopaedics and Related Research, 2014, 472(2): 405-409. |
| [16] | Zhang H, Wernz C, Hughes D R. Modeling and designing health care payment innovations for medical imaging[J]. Health Care Management Science, 2018, 21(1): 37-51. |
| [17] | 浙江省人力资源和社会保障厅.浙江省人力资源和社会保障厅关于开展肝移植术基本医疗保险按绩效支付试点工作的通知[EB/OL].(2017-11-30)[2025-02-12].. |
| Zhejiang Provincial Department of Human Resources and Social Security.Notice of Zhejiang provincial department of human resources and social security on the pilot work of performance-based payment of basic medical insurance for liver transplantation[EB/OL].(2017-11-30)[2025-02-12]. . | |
| [18] | 上海市医疗保障局.关于部分诊疗项目试行按绩效支付的通知[EB/OL].(2022-1-12)[2025-2-12]. . |
| Shanghai Municipal Medical Security Bureau. Notice on trial implementation of performance based payment for some diagnosis and treatment projects[EB/OL].(2022-1-12)[2025-2-12]. . | |
| [19] | Hancock John.John Hancock Vitality[EB/OL]. (2024-12-28)[2025-5-8].. |
| [20] | Healthcare United. The evolution of value-based care and what it means for employers[EB/OL].(2024-4-7)[2025-5-8].. |
| [21] | Price A, Clarke M, Staniszewska S, et al. Patient and public involvement in research: A journey to co-production[J]. Patient Education and Counseling, 2022, 105(4): 1041-1047. |
| [22] | Park S. Beyond patient-centred care: A conceptual framework of co-production mechanisms with vulnerable groups in health and social service settings[J]. Public Management Review, 2020, 22(3): 452-474. |
| [23] | 朱立龙, 荣俊美. “互联网+医疗健康” 背景下考虑患者反馈机制的药品质量监管策略研究[J]. 中国管理科学, 2020, 28(5): 122-135. |
| Zhu L L, Rong J M. Drug quality supervision strategy considering patient feedback mechanism under the background of “Internet+Medical health”[J]. Chinese Journal of Management Science, 2020, 28(5): 122-135. | |
| [24] | 郭鑫鑫, 王海燕, 许蒙蒙. 医疗信息共享对患者转移数量和服务质量水平影响研究[J]. 中国管理科学, 2021, 29(1): 226-236. |
| Guo X X, Wang H Y, Xu M M. The impact of health information exchange on the number of patients transferred and the quality of service[J]. Chinese Journal of Management Science, 2021, 29(1): 226-236. | |
| [25] | 邓朝华, 邓子豪, 樊国睿, 等. 在线健康平台能否减少健康不公平?——基于价值共创视角[J]. 管理世界, 2024, 40(1): 119-140. |
| Deng Z H, Deng Z H, Fan G R, et al. Can online health platforms reduce health inequity? Based on the perspective of value co-creation[J]. Journal of Management World, 2024, 40(1): 119-140. | |
| [26] | Danaher T S, Danaher P J, Sweeney J C, et al. Dynamic customer value cocreation in healthcare[J]. Journal of Service Research, 2024, 27(2): 177-193. |
| [27] | 简兆权, 谭艳霞, 刘念. 数字化驱动下智慧医疗服务平台价值共创的演化过程——基于服务生态系统和知识整合视角的案例研究[J]. 管理评论, 2022, 34(12): 322-339. |
| Jian Z Q, Tan Y X, Liu N. The evolution process of value co-creation driven by digitalization on the intelligent medical services platform: A case based on service ecosystem and knowledge integration[J]. Management Review, 2022, 34(12): 322-339. | |
| [28] | Miller G, Babiarz K S. Pay-for-performance incentives in low- and middle-income country health programs[M]//Culyer A J.Encyclopedia of Health Economics. Amsterdam: Elsevier, 2014: 457-466. |
| [29] | 吴晓丹, 张晓亚, 岳殿民, 等. 基于医保支付方式的基层医疗服务签约策略[J]. 系统工程理论与实践, 2021, 41(10): 2548-2560. |
| Wu X D, Zhang X Y, Yue D M, et al. Primary care contract design under medicare reimbursement[J]. Systems Engineering-Theory & Practice, 2021, 41(10): 2548-2560. | |
| [30] | 吴晓丹, 杨悦, 张晓亚, 等. 线上线下融合的诊疗努力分配决策研究[J].管理评论,2024, 36(3): 210-224. |
| Wu X D, Yang Y, Zhang X Y, et al. Healthcare effort decision on online-offline service allocation[J]. Management Review, 2024, 36(3): 210-224. | |
| [31] | Guo P, Tang C S, Wang Y, et al. The impact of reimbursement policy on social welfare, revisit rate, and waiting time in a public healthcare system: Fee-for-service versus bundled payment[J].Manufacturing & Service Operations Management,2018,21(1): 154-170. |
| [32] | Adida E, Bravo F. Contracts for healthcare referral services: Coordination via outcome-based penalty contracts[J]. Management Science, 2018, 65(3): 1322-1341. |
| [33] | Ghamat S, Zaric G S, Pun H. Care-coordination: Gain-sharing agreements in bundled payment models[J]. Production and Operations Management, 2021, 30(5): 1457-1474. |
| [34] | Zhang H, Wernz C, Hughes D R. A stochastic game analysis of incentives and behavioral barriers in chronic disease management[J]. Service Science, 2018, 10(3): 302-319. |
| [35] | Pope B, Deshmukh A, Johnson A, et al. Multilateral contracting and prevention[J]. Health Economics, 2014, 23(4): 397-409. |
| [36] | Nerlove M, Arrow K J. Optimal advertising policy under dynamic conditions[J]. Economica, 1962, 29(114): 129-142. |
| [37] | Fruchter G E, Prasad A, Van den Bulte C. Too popular, too fast: Optimal advertising and entry timing in markets with peer influence[J]. Management Science, 2021, 68(6): 4725-4741. |
| [38] | He X, Prasad A, Sethi S P. Cooperative advertising and pricing in a dynamic stochastic supply chain: Feedback Stackelberg strategies[J]. Production and Operations Management, 2009, 18(1): 78-94. |
| [39] | 白云涛, 刘德海. 跨国河流水污染合作治理的微分博弈模型[J]. 系统工程学报, 2024, 39(1): 16-33. |
| Bai Y T, Liu D H. Cooperation for transnational river pollution control: A differential game model[J]. Journal of Systems Engineering, 2024, 39(1): 16-33. | |
| [40] | 孙睿, 何大义, 闫晶晶. 基于随机微分博弈的林业碳汇项目开发的风险化解机制研究[J]. 系统工程理论与实践, 2024,44(7): 2273-2292. |
| Sun R, He D Y, Yan J J. Study on risk resolution mechanism of forestry carbon sink project development based on stochastic differential game[J]. Systems Engineering-Theory & Practice,2024,44(7): 2273-2292. | |
| [41] | 侯艳辉, 管敏, 王家坤, 等. 全媒体时代基于微分博弈的网络舆情引导激励机制研究[J]. 中国管理科学, 2023, 31(8): 239-252. |
| Hou Y H, Guan M, Wang J K, et al. Research on the incentive mechanism of network public opinion guidance based on differential game in the omnimedia era[J]. Chinese Journal of Management Science, 2023, 31(8): 239-252. | |
| [42] | 王道平, 张可, 周玉. 政府奖惩下考虑回收率动态随机的闭环供应链微分博弈[J]. 中国管理科学,2024,32(5):158-170. |
| Wang D P, Zhang K, Zhou Y. Differential game of closed-loop supply chain with dynamic stochastic recovery rate under reward-penalty mechanism of government[J]. Chinese Journal of Management Science, 2024,32 (5):158-170. | |
| [43] | 李月, 杨霞, 许静怡, 等. 我国中老年慢性病患者疾病经济风险研究——基于社会-人群-家庭层面[J]. 卫生经济研究, 2023, 40(2): 10-13+17. |
| Li Y, Yang X, Xu J Y, et al. Study on disease economic risk of middle-aged and aged chronic disease patients in China:Based on the social-population-family level[J]. Health Economics Research, 2023, 40(2): 10-13+17. | |
| [44] | 克里斯坦森,格罗斯曼,黄捷升. 创新者的处方[M].北京:中国人民大学出版社,2015. |
| Christensen C M, Grossman M.D. and Hwang M.D. The innovator’s prescription[M].Beijing: China Ren min University Press,2015. |
| Viewed | ||||||
|
Full text |
|
|||||
|
Abstract |
|
|||||
|
||