主管:中国科学院
主办:中国优选法统筹法与经济数学研究会
   中国科学院科技战略咨询研究院

Chinese Journal of Management Science ›› 2026, Vol. 34 ›› Issue (4): 330-342.doi: 10.16381/j.cnki.issn1003-207x.2024.1358

Previous Articles     Next Articles

Carbon Regulation and Firms Investment under the Perspective of Regional Carbon Migration

Han Zhang1, Hua Zhao1(), Zhiguo Li2, Li Jiang1   

  1. 1.School of Economics and Business Administration,Chongqing University,Chongqing 400044,China
    2.School of Management Science and Engineering,Chongqing Technology and Business University,Chongqing 400067,China
  • Received:2024-08-07 Revised:2024-09-06 Online:2026-04-25 Published:2026-03-27
  • Contact: Hua Zhao E-mail:hua_zhao@cqu.edu.cn

Abstract:

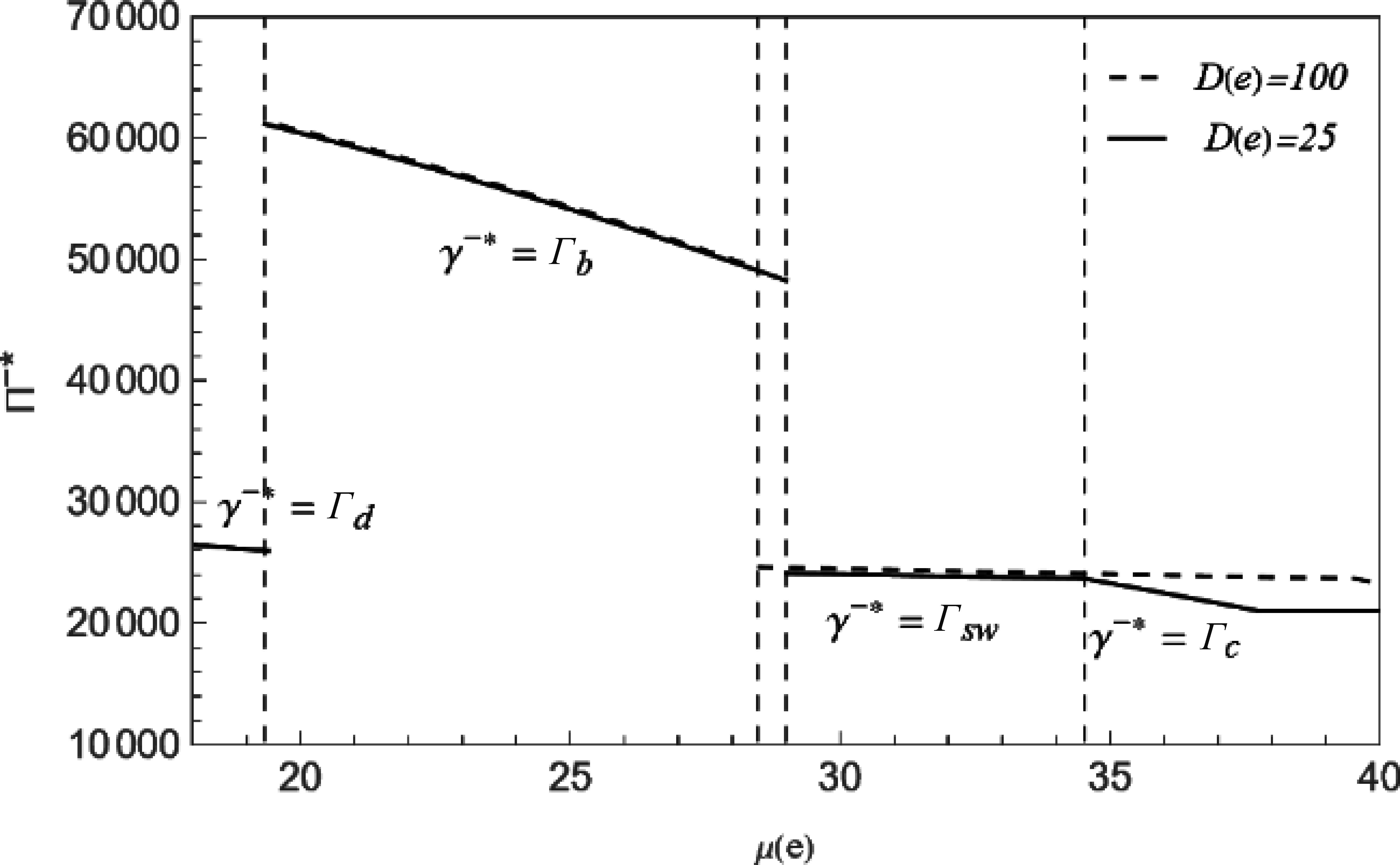
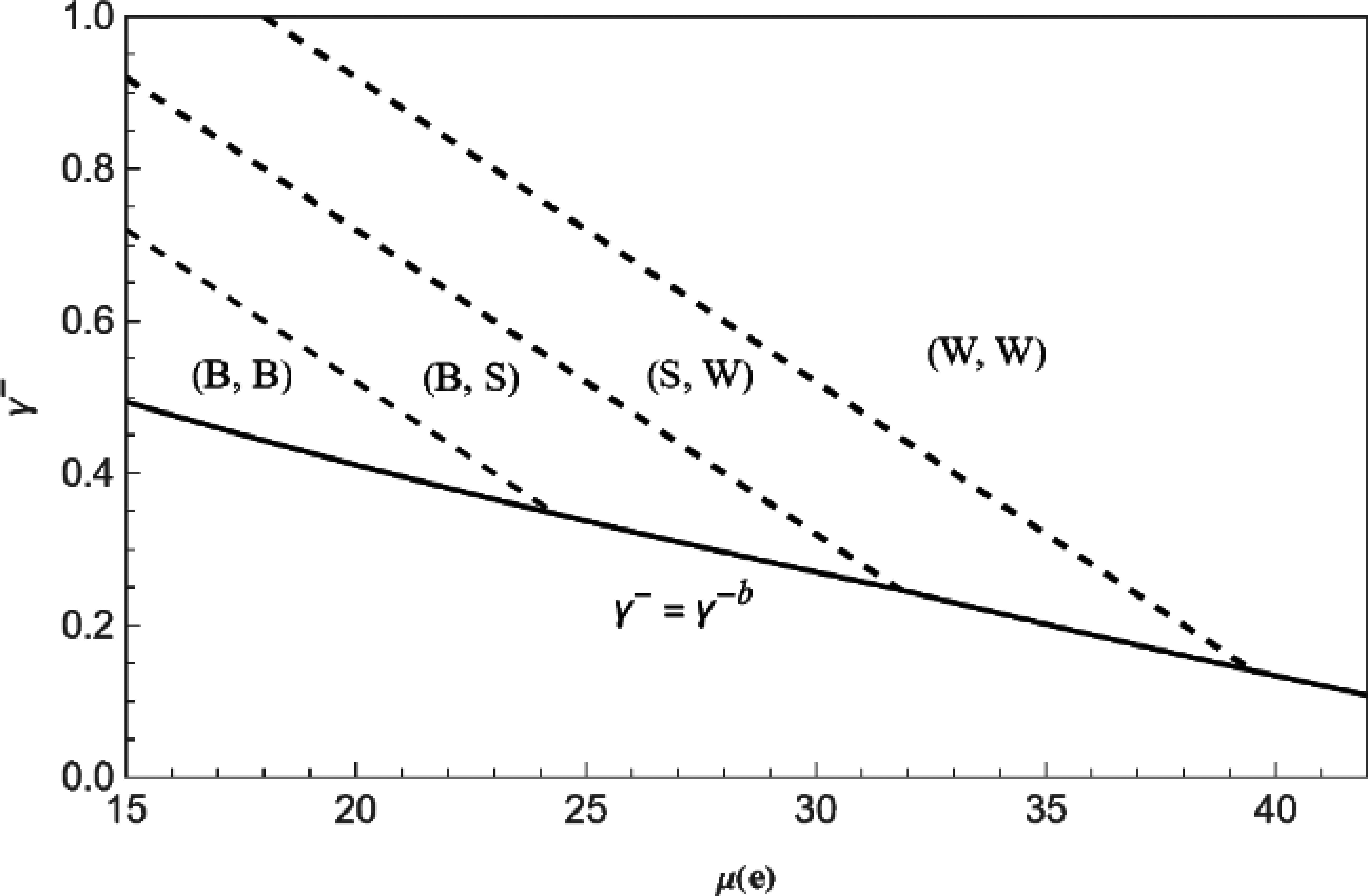
The “East Data West Computing” project, which guides digital firms to deploy production capacity in the western region where factor costs are lower, which is accompanied by a shift in carbon emission areas and may exacerbate the growth of total carbon emissions. To address this issue, the government has set emission-reduction technology thresholds for new projects in the West. In order to investigate the impact of the government's access threshold regulation on controlling the growth of carbon emissions, a game model involving both a government and a firm is constructed. In this model, the government sets emission-reduction technology thresholds for new capacities in the West, while the firm chooses either to expand existing capacity in the East using high-emission technology or to move to the West, investing in improved emission-reduction technology to meet the threshold. The impact of the government’s emission-reduction technology thresholds on the firm’s capacity investment decision and corresponding production decision is analyzed, and how factors such as cost differences between the East and West regions and carbon price fluctuations in the East affect the government’s equilibrium threshold decision is discussed. It is found that when the government sets a lower threshold, the firm opts to build new capacity in the West and invest in emission-reduction technology just enough to meet the threshold. As the government’s threshold is decreased, the firm increases the capacity scale in the West and produce more in this region, resulting in a greater total increase in carbon emissions compared to expanding existing capacity in the East. The government’s threshold does not always increase with the widening cost differences between the regions; it is lowered when the differences are small. Moreover, the government’s threshold decreases as carbon price fluctuations in the East intensify; stabilizing these fluctuations is more beneficial for enhancing social welfare. The government’s optimal threshold increases with the strengthening of its environmental regulations. At a moderate level of regulatory strength, the government’s optimal technological threshold maximizes the benefit of the firm building new capacity in the West, while significantly reducing total carbon emissions.

Key words: government environmental regulation, capacity investment, emission reduction technology investment

CLC Number: