主管:中国科学院
主办:中国优选法统筹法与经济数学研究会
   中国科学院科技战略咨询研究院

Chinese Journal of Management Science ›› 2025, Vol. 33 ›› Issue (12): 226-238.doi: 10.16381/j.cnki.issn1003-207x.2024.1568

Previous Articles     Next Articles

Condition-based Maintenance Model for a System with Hidden Failures Based on Competing Failures and Mission Failures

Mengying Han1, Li Yang2, Qingan Qiu3(), Fengming Kang4   

  1. 1.School of Economics,Hebei University of Economics and Business,Shijiazhuang 050061,China
    2.School of Reliability and Systems Engineering,Beihang University,Beijing 100191,China
    3.School of Management,Beijing Institute of Technology,Beijing 100081,China
    4.School of Economics and Management,Inner Mongolia University,Hohhot 010021,China
  • Received:2024-09-09 Revised:2025-01-07 Online:2025-12-25 Published:2025-12-25
  • Contact: Qingan Qiu E-mail:qiu_qingan@bit.edu.cn

Abstract:

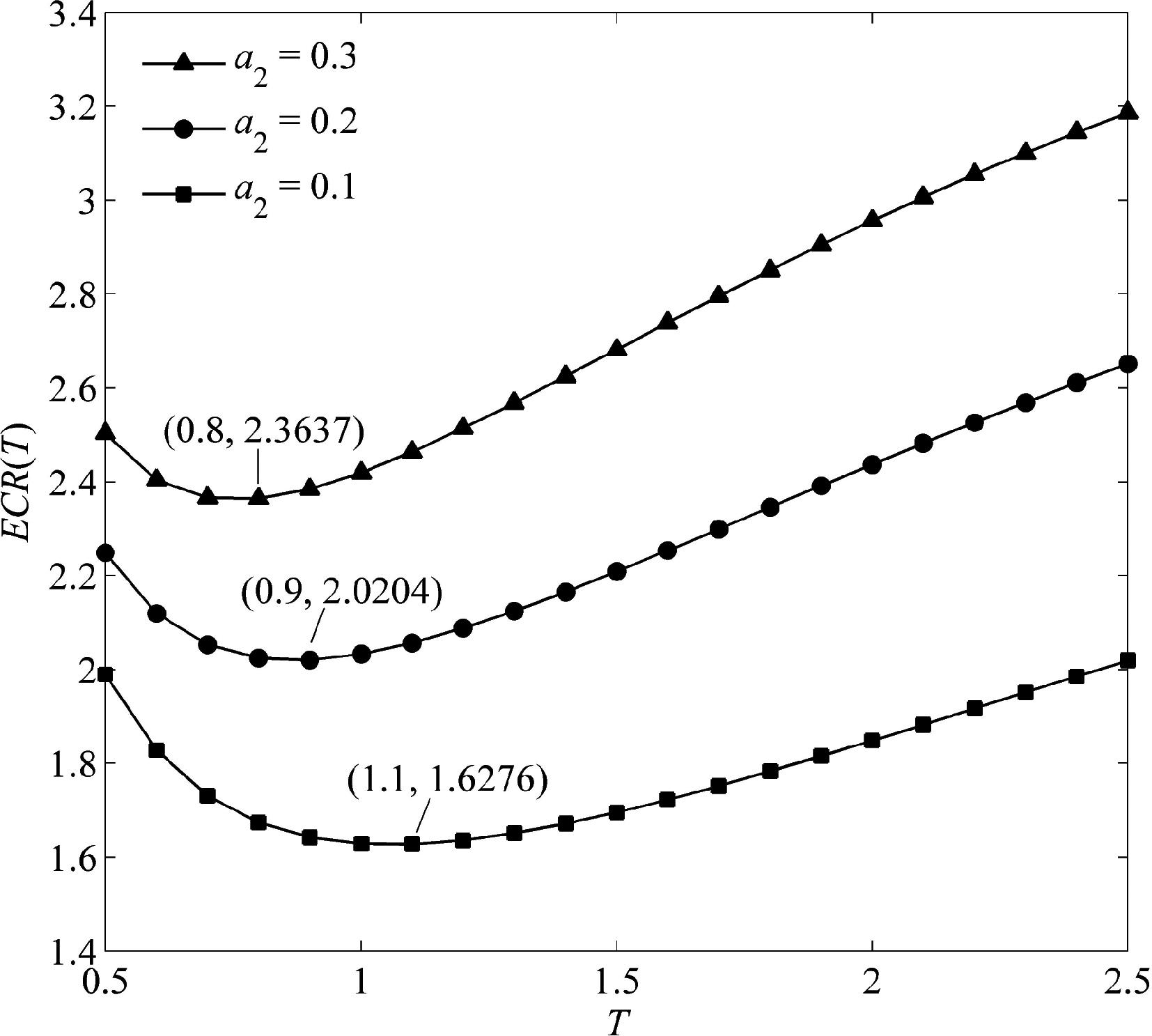
Systems with hidden failures typically do not perform missions continuously, but mission failures in such systems can lead to substantial economic losses and severe damage. Condition-based maintenance (CBM) is an effective strategy to enhance system reliability and mitigate the risk of hidden failure. A CBM model is developed for systems subject to competing and hidden failures by incorporating mission failure behavior and a multiple inspection policy. The arrival of system missions follows a Poisson process, and the outcome of mission execution depends on the system's state. Periodic minor inspections, which are imperfect, are scheduled to detect the system’s state, while major inspections, which are perfect, are conducted only upon mission failure. Under this policy, all the possible scenarios for minor inspection preventive renewal, major inspection preventive renewal, minor inspection corrective renewal, major inspection corrective renewal, and age-based preventive renewal are analyzed, and the probabilities of each scenario occurring are derived. Consequently, the CBM model is formulated using the Renewal Reward Theorem, aiming to minimize the long-run expected cost rate, with the minor inspection interval serving as the decision variable. Finally, the effectiveness and applicability of the proposed maintenance model are validated through comparisons with two other models. The results indicate that considering mission failure due to defective systems is crucial when constructing maintenance models for multi-state systems with hidden failures, and that multiple inspection policy offers greater cost advantages than single inspection policy when the minor inspection cost is below a threshold level.

Key words: competing failures, hidden failures, mission failures, multiple inspections, condition-based maintenance

CLC Number: